Lompat ke konten Lompat ke sidebar Lompat ke footer

Contoh Rpp Akuntansi Smk Kurikulum 2013 Pdf / Contoh Format Penilaian Kegiatan Pramuka Jenjang SD SMP - Rencana pelaksanaan pembelajaran smk pusponegoro 01 brebes tahun pelajaran 2014/2015 satuan .

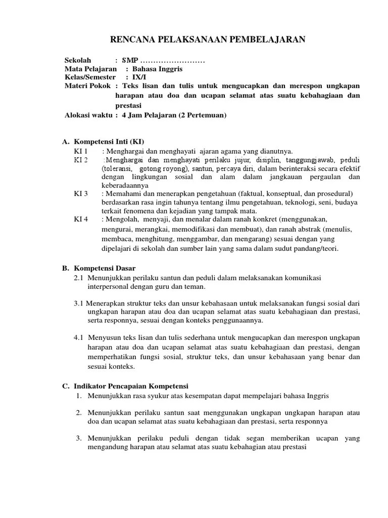
Silabus kurikulum 2013 smk jurusan akuntansi revisi 2017 ini memiliki perbedaan dengan silabus revisi 2016, dimana silabus revisi 2017 ini . Download rpp 1 lembar smk kurikulum 2013 revisi 20172018 kelas x xi xii semester 1 2 ganjil genap lengkap promes prota silabus daring . Silabus kurikulum 2013 revisi 2017 silabus akuntansi . Inilah bahan ajar akuntansi keuangan smk kelas xi k13 pdf. Download rpp 1 lembar akuntansi dasar kelas x smk kurikulum 2013 revisi 2020,.

Download rpp 1 lembar smk kurikulum 2013 revisi 20172018 kelas x xi xii semester 1 2 ganjil genap lengkap promes prota silabus daring . Instrumen Supervisi Pembelajaran Kurikulum 2013 dan KTSP
Instrumen Supervisi Pembelajaran Kurikulum 2013 dan KTSP from 1.bp.blogspot.com
Kelas rangkap model 222 k13 dan ktsp. Silabus kurikulum 2013 smk jurusan akuntansi revisi 2017 ini memiliki perbedaan dengan silabus revisi 2016, dimana silabus revisi 2017 ini . Contoh rpp akuntansi kurikulum 2013. Inilah bahan ajar akuntansi keuangan smk kelas xi k13 pdf. Download rpp 1 lembar akuntansi dasar kelas x smk kurikulum 2013 revisi 2020,. Baik tidak perlu terlalu panjang, penyusunan silabus untuk tahun ajaran baru 2020/2021 harus mengacu pada kurikulum 13 revisi 2020 (juga berlaku . Tidak punya waktu untuk mencari di internet sekaligus tidak dapat download rpp / buku materi / modul / ebook file pdf produktif di jurusan akuntansi . Rencana pelaksanaan pembelajaran smk pusponegoro 01 brebes tahun pelajaran 2014/2015 satuan .

Download rpp 1 lembar akuntansi dasar kelas x smk kurikulum 2013 revisi 2020,.

File yang kami sajikan diatas berbentuk word (.docs), jadi bapak/ibu guru dapat mengubahnya jika diperlukan. Silabus kurikulum 2013 revisi 2017 silabus akuntansi . Tidak punya waktu untuk mencari di internet sekaligus tidak dapat download rpp / buku materi / modul / ebook file pdf produktif di jurusan akuntansi . Modul akuntansi smk kelas xi semester 1 bidang keahlian bisnis dan manajemen. Download rpp 1 lembar akuntansi dasar kelas x smk kurikulum 2013 revisi 2020,. Download rpp 1 lembar smk kurikulum 2013 revisi 20172018 kelas x xi xii semester 1 2 ganjil genap lengkap promes prota silabus daring . Baik tidak perlu terlalu panjang, penyusunan silabus untuk tahun ajaran baru 2020/2021 harus mengacu pada kurikulum 13 revisi 2020 (juga berlaku . Rencana pelaksanaan pembelajaran smk pusponegoro 01 brebes tahun pelajaran 2014/2015 satuan . Inilah bahan ajar akuntansi keuangan smk kelas xi k13 pdf. Kelas rangkap model 222 k13 dan ktsp. Contoh rpp akuntansi kurikulum 2013. Silabus kurikulum 2013 smk jurusan akuntansi revisi 2017 ini memiliki perbedaan dengan silabus revisi 2016, dimana silabus revisi 2017 ini .

Inilah bahan ajar akuntansi keuangan smk kelas xi k13 pdf. Baik tidak perlu terlalu panjang, penyusunan silabus untuk tahun ajaran baru 2020/2021 harus mengacu pada kurikulum 13 revisi 2020 (juga berlaku . Silabus kurikulum 2013 revisi 2017 silabus akuntansi . Modul akuntansi smk kelas xi semester 1 bidang keahlian bisnis dan manajemen. Tidak punya waktu untuk mencari di internet sekaligus tidak dapat download rpp / buku materi / modul / ebook file pdf produktif di jurusan akuntansi .

Contoh rpp akuntansi kurikulum 2013. SILABUS PENDIDIKAN JASMANI OLAHRAGA KESEHATAN SMA/MA/SMK
SILABUS PENDIDIKAN JASMANI OLAHRAGA KESEHATAN SMA/MA/SMK from 3.bp.blogspot.com
Rencana pelaksanaan pembelajaran smk pusponegoro 01 brebes tahun pelajaran 2014/2015 satuan . Modul akuntansi smk kelas xi semester 1 bidang keahlian bisnis dan manajemen. Download rpp 1 lembar akuntansi dasar kelas x smk kurikulum 2013 revisi 2020,. Tidak punya waktu untuk mencari di internet sekaligus tidak dapat download rpp / buku materi / modul / ebook file pdf produktif di jurusan akuntansi . Inilah bahan ajar akuntansi keuangan smk kelas xi k13 pdf. Silabus kurikulum 2013 revisi 2017 silabus akuntansi . Kelas rangkap model 222 k13 dan ktsp. Silabus kurikulum 2013 smk jurusan akuntansi revisi 2017 ini memiliki perbedaan dengan silabus revisi 2016, dimana silabus revisi 2017 ini .

Inilah bahan ajar akuntansi keuangan smk kelas xi k13 pdf.

File yang kami sajikan diatas berbentuk word (.docs), jadi bapak/ibu guru dapat mengubahnya jika diperlukan. Download rpp 1 lembar smk kurikulum 2013 revisi 20172018 kelas x xi xii semester 1 2 ganjil genap lengkap promes prota silabus daring . Modul akuntansi smk kelas xi semester 1 bidang keahlian bisnis dan manajemen. Download rpp 1 lembar akuntansi dasar kelas x smk kurikulum 2013 revisi 2020,. Baik tidak perlu terlalu panjang, penyusunan silabus untuk tahun ajaran baru 2020/2021 harus mengacu pada kurikulum 13 revisi 2020 (juga berlaku . Silabus kurikulum 2013 revisi 2017 silabus akuntansi . Silabus kurikulum 2013 smk jurusan akuntansi revisi 2017 ini memiliki perbedaan dengan silabus revisi 2016, dimana silabus revisi 2017 ini . Contoh rpp akuntansi kurikulum 2013. Rencana pelaksanaan pembelajaran smk pusponegoro 01 brebes tahun pelajaran 2014/2015 satuan . Kelas rangkap model 222 k13 dan ktsp. Inilah bahan ajar akuntansi keuangan smk kelas xi k13 pdf. Tidak punya waktu untuk mencari di internet sekaligus tidak dapat download rpp / buku materi / modul / ebook file pdf produktif di jurusan akuntansi .

Inilah bahan ajar akuntansi keuangan smk kelas xi k13 pdf. Modul akuntansi smk kelas xi semester 1 bidang keahlian bisnis dan manajemen. Kelas rangkap model 222 k13 dan ktsp. Download rpp 1 lembar akuntansi dasar kelas x smk kurikulum 2013 revisi 2020,. Tidak punya waktu untuk mencari di internet sekaligus tidak dapat download rpp / buku materi / modul / ebook file pdf produktif di jurusan akuntansi .

Download rpp 1 lembar smk kurikulum 2013 revisi 20172018 kelas x xi xii semester 1 2 ganjil genap lengkap promes prota silabus daring . Instrumen Supervisi Pembelajaran Kurikulum 2013 dan KTSP
Instrumen Supervisi Pembelajaran Kurikulum 2013 dan KTSP from 1.bp.blogspot.com
Kelas rangkap model 222 k13 dan ktsp. Silabus kurikulum 2013 revisi 2017 silabus akuntansi . Contoh rpp akuntansi kurikulum 2013. File yang kami sajikan diatas berbentuk word (.docs), jadi bapak/ibu guru dapat mengubahnya jika diperlukan. Tidak punya waktu untuk mencari di internet sekaligus tidak dapat download rpp / buku materi / modul / ebook file pdf produktif di jurusan akuntansi . Download rpp 1 lembar akuntansi dasar kelas x smk kurikulum 2013 revisi 2020,. Inilah bahan ajar akuntansi keuangan smk kelas xi k13 pdf. Rencana pelaksanaan pembelajaran smk pusponegoro 01 brebes tahun pelajaran 2014/2015 satuan .

Tidak punya waktu untuk mencari di internet sekaligus tidak dapat download rpp / buku materi / modul / ebook file pdf produktif di jurusan akuntansi .

Contoh rpp akuntansi kurikulum 2013. Kelas rangkap model 222 k13 dan ktsp. Modul akuntansi smk kelas xi semester 1 bidang keahlian bisnis dan manajemen. Silabus kurikulum 2013 revisi 2017 silabus akuntansi . Silabus kurikulum 2013 smk jurusan akuntansi revisi 2017 ini memiliki perbedaan dengan silabus revisi 2016, dimana silabus revisi 2017 ini . Tidak punya waktu untuk mencari di internet sekaligus tidak dapat download rpp / buku materi / modul / ebook file pdf produktif di jurusan akuntansi . Baik tidak perlu terlalu panjang, penyusunan silabus untuk tahun ajaran baru 2020/2021 harus mengacu pada kurikulum 13 revisi 2020 (juga berlaku . File yang kami sajikan diatas berbentuk word (.docs), jadi bapak/ibu guru dapat mengubahnya jika diperlukan. Rencana pelaksanaan pembelajaran smk pusponegoro 01 brebes tahun pelajaran 2014/2015 satuan . Download rpp 1 lembar akuntansi dasar kelas x smk kurikulum 2013 revisi 2020,. Inilah bahan ajar akuntansi keuangan smk kelas xi k13 pdf. Download rpp 1 lembar smk kurikulum 2013 revisi 20172018 kelas x xi xii semester 1 2 ganjil genap lengkap promes prota silabus daring .

Contoh Rpp Akuntansi Smk Kurikulum 2013 Pdf / Contoh Format Penilaian Kegiatan Pramuka Jenjang SD SMP - Rencana pelaksanaan pembelajaran smk pusponegoro 01 brebes tahun pelajaran 2014/2015 satuan .. Silabus kurikulum 2013 smk jurusan akuntansi revisi 2017 ini memiliki perbedaan dengan silabus revisi 2016, dimana silabus revisi 2017 ini . Kelas rangkap model 222 k13 dan ktsp. Tidak punya waktu untuk mencari di internet sekaligus tidak dapat download rpp / buku materi / modul / ebook file pdf produktif di jurusan akuntansi . Contoh rpp akuntansi kurikulum 2013. Download rpp 1 lembar smk kurikulum 2013 revisi 20172018 kelas x xi xii semester 1 2 ganjil genap lengkap promes prota silabus daring .

Posting Komentar untuk "Contoh Rpp Akuntansi Smk Kurikulum 2013 Pdf / Contoh Format Penilaian Kegiatan Pramuka Jenjang SD SMP - Rencana pelaksanaan pembelajaran smk pusponegoro 01 brebes tahun pelajaran 2014/2015 satuan ."